Бізге жазыңыздар

  • Басты бет
  • Мектеп туралы
    • Тарихы
    • Әкімшілігі
    • Мектеп кітапханасы
    • Медицина қызметкері
    • Мектеп асханасы
  • Жаңалықтар
  • Галерея
  • Байланыстар
  • Қызмет көрсету ауданы туралы мәлімет
  • Басты бет
  • Мектеп туралы
    • Тарихы
    • Әкімшілігі
    • Мектеп кітапханасы
    • Медицина қызметкері
    • Мектеп асханасы
  • Жаңалықтар
  • Галерея
  • Байланыстар
  • Қызмет көрсету ауданы туралы мәлімет
Бүктеу
  • ҚАЗ
  • РУС
A A A+
  • Даму стратегиялары мен бағдарламалар
  • Мемлекеттік сатып алу
  • Білім беру жүйесі
    • Мемлекеттік аккредитацияның куәлігі
  • Мұғалімдері туралы мәлімет
  • Мектеп оқушылары туалы мәлімет
  • Ата-аналар комитеті
  • Сабақтар мен үзілістердің кестесі
  • Демалыс уақыттарының кестесі
  • Қамқоршылық кеңес
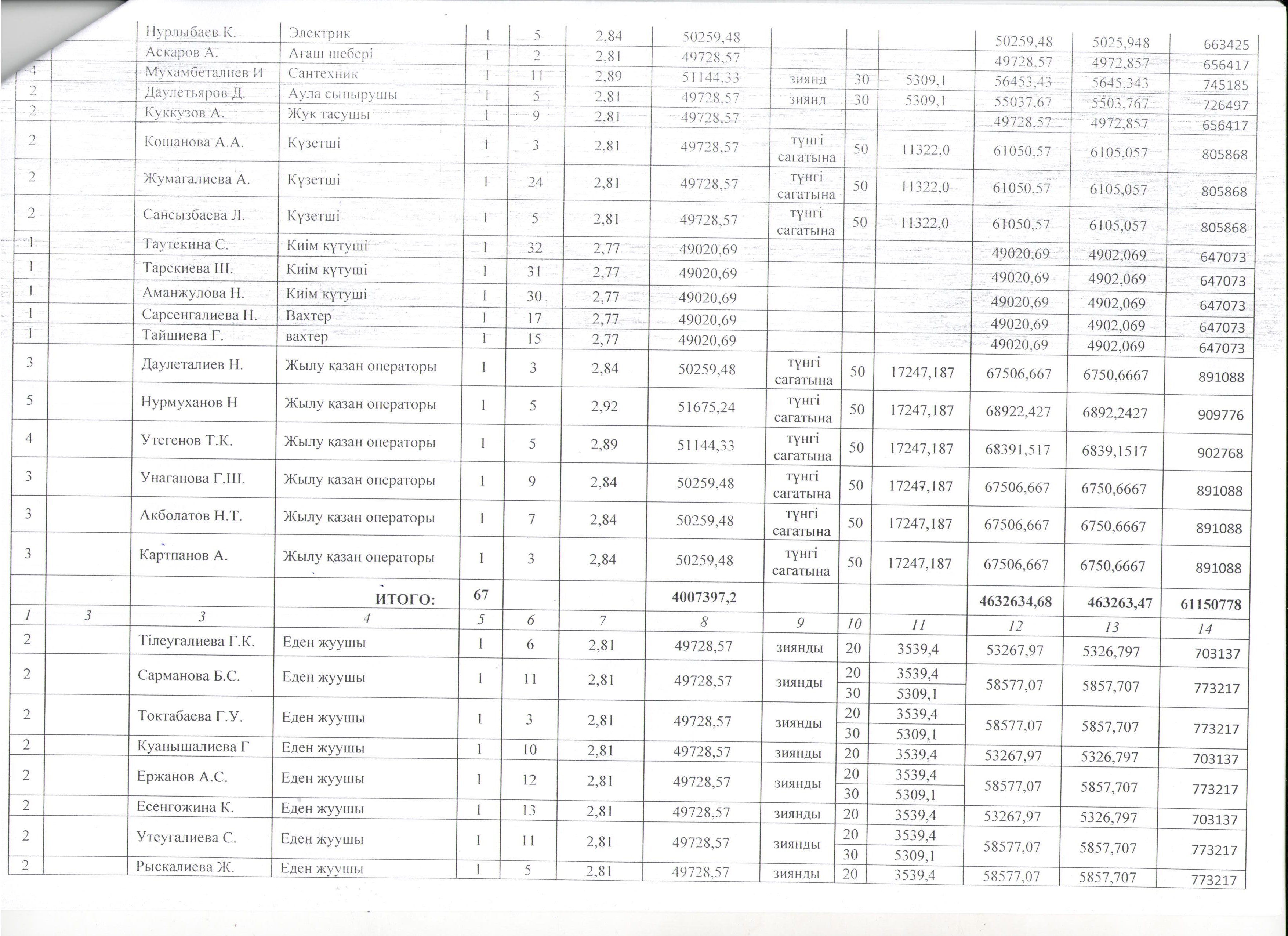
  • Штатное расписание
  • Мемлекеттік аттестация
    • Білім алушылар контингенті
    • Кадрлық құрамға талдау
    • Білім беру ұйымдарының жалпы сипаттамасы
    • Оқу-әдістемелік жұмыс
    • Оқу-материалдық активтер
    • Білім алушылардың білімін бағалау
    • Мониторинг
    • Жеке даму картасы
    • Перспективалық жоспар
    • Циклограмма
    • Қосымшалар
    • Сауалнама
    • Хаттамалар
    • Өзін-өзі бағалау құрылымы
    • Кемшіліктерді жою
  • Оқушылар туралы мәлімет
  • Бос орындар

 

 

 

Бүктеу
  • ТуТу
  • ЕлтаңбаЕлтаңба
  • ГимнГимн
Даулетқалиев Азамат Қожабайұлы
Сізді менің блогымда көргеніме қуаныштымын!
блогқа өту

  

 

 

 

Штатное расписание

ЖШС «IT Group Қазақстанда» жасалған

Қазақстандағы мемлекеттік мекемелерге арнайы сайттар жасау

© 2004 - 2021

SEO

© 2021, Барлық құқықтар сақталған